ConcurrentHashMap 底层具体实现JDK1.7、1.8

技术标签: Java学习资料整理

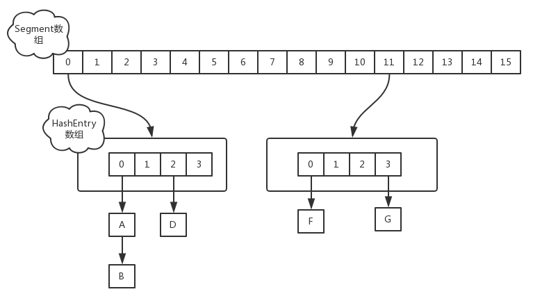
ConcurrentHashMap 底层实现原理是什么? JDK1.7 首先将数据分为一段一段的存储,然后给每一段数据配一把锁,当一个线程占用锁访问其中一个段数据时,其他段的数据也能被其他线程访问。 在JDK1.7中,ConcurrentHashMap采用Segment + HashEntry的方式进行实现,结构如下: 一个 ConcurrentHashMap 里包含一个 Segment 数组。S...

【容器类】画图理解HashMap、ConcurrentHashMap

画图理解HashMap、ConcurrentHashMap 、HashMap 二、ConcurrentHashMap 三、绘图工具 、HashMap 二、ConcurrentHashMap JDK1.7 JDK1.8 三、绘图工具 ProcessOn

CurrentHashMap在JDK1.8的改进

ConcurrentHashMapjdk1.7设计 jdk1.7采用Segment + HashEntry方式进行实现结构如下: 二、ConcurrentHashMapjdk1.8设计 1.8放弃了Segment臃肿设计,取而代之采用Node + CAS + Synchronized+红黑树 来保证并发安全进行实现结构如下

Java面试题——ConcurrentHashMap

1.ConcurrentHashMap底层具体实现 JDK1.7 首先将数据分为一段一段存储然后一段数据一把一个线程占用访问其中一个段数据其他数据其他线程访问 JDK1.7,ConcurrentHahMap采用Segment+HashEntry方式进行实现一个ConcurrentHashMap包含一个Segment数组Segment结构

深入学习Java集合之ConcurrentHashMap的实现原理

ConcurrentHashMap类图如下jdk1.7ConcurrentHashMap数据结构图: 如图所示,是由 Segment 数组HashEntry 组成,和 HashMap 样,仍然是数组加链表。核心变量: SegmentConcurrentHashMap 一个内部类,主要组成如下: waiting…

容器——ConcurrentHashMap的底层实现原理

线程访问容器不同数据数据线程间就不会存在竞争,从而可以有效提高并发访问效率,这就是ConcurrentHashMap所使用分段技术。首先将数据分成一段一段存储然后一段数据一把一个线程占用访问其中一个段数据时候,其他数据其他线程访问jdk1.7采用Segment + HashEntry方式进行实现结构如下ConcurrentHashMap


智能推荐

java之ConcurrentHashMap在jdk1.7和jdk1.8中的不同

1.底层结构发生变化 jdk 1.7底层结构是:数组(Segment)+ 链表(HashEntry节点)组成 使用分段锁技术,将整个数据结构分段(默认为16段)进行存储,将数据分成一段一段的存储,然后给每一段数据配一把锁,当一个线程占用锁访问其中一个段数据的时候,其他段的数据也能被其他线程访问,能够实现真正的并发访问。如下图是ConcurrentHashMap的内部结构图: 从上面的结构我们可以了...

面试系列 | JDK1.7和JDK1.8中ConcurrentHashMap的区别

JDK1.7和JDK1.8中ConcurrentHashMap的区别   1、整体结构 JDK1.7:Segment + HashEntry + Unsafe(分段数组+链表) JDK1.8:移除Segment,使锁的粒度更小,Synchronized + CAS + Node + Unsafe (数组+链表/红黑二叉树),其实 Node 和 HashEntry 的内容一样,但...

ConcurrentHashMap在jdk1.7和jdk1.8中的不同(简单说)

原博客: https://www.cnblogs.com/lujiango/p/7580558.html http://www.importnew.com/28263.html CouncurrentHashMap 线程安全 一、CouncurrentHashMap<jdk1.7>底层: 1.底层数据结构 <jdk1.7>:数组(Segment) + 数组(HashEntr...

并发容器ConcurrentHashMap——JDK1.7与JDK1.8区别

在Java常用的容器HashMap存在着线程不安全的问题,其中JDK1.7与JDK1.8的线程不安全会出现不同的情况:在多线程情况下,JDK1.7在HashMap在扩容时会造成环形;在JDK1.8中可能会发生数据覆盖。 1、JDK1.7下的ConcurrentHashMap ConcurrentHashMap是由Segment数组结构和HashEntry数组结构组成。Segment实际继承自可重入...

ConcurrentHashMap底层实现原理(JDK1.8)源码分析

ConcurrentHashMap数据结构   ConcurrentHashMap相比HashMap而言,是多线程安全的,其底层数据与HashMap的数据结构相同,数据结构如下:      说明:ConcurrentHashMap的数据结构(数组+链表+红黑树),桶中的结构可能是链表,也可能是红黑树,红黑树是为了提高查找效率。 ConcurrentHashMap源码分析   1、类的继承关系   ...

猜你喜欢

ConcurrentHashMap(JDK1.8)

参考文献: ConcurrentHashMap源码解析(jdk1.8) ConcurrentHashMap底层实现原理(JDK1.8)源码分析 ConcurrentHashMap源码分析(JDK1.8)——扩容 java基础系列之ConcurrentHashMap源码分析(基于jdk1.8) 数据结构 ConcurrentHashMap取消了Segment分段锁,采用CAS...

JDK1.7 ConcurrentHashMap集合源代码探索

一、为什么要用ConcurrentHashMap          经典讲解为什么并发不用HashMaphttps://blog.csdn.net/mydreamongo/article/details/8960667          HsahMap在并发执行put操作时会引起死循环,是因为多个线...

自定义类加载器

 自定义类加载器 我们如果需要自定义类加载器,只需要继承ClassLoader类,并覆盖掉findClass方法即可。 自定义文件类加载器     自定义网络类加载器 热部署类加载器 当我们调用loadClass方法加载类时,会采用双亲委派模式,即如果类已经被加载,就从缓存中获取,不会重新加载。如果同一个class被同一个类加载器多次加载,则会报错。因此,我们要实现热...

用户界面和兼容性测试

用户界面测试 1 、导航测试 导航直观 Web系统的主要部分可通过主页存取 Web系统不需要站点地图、搜索引擎或其他的导航帮助 Web应用系统的页面结构、导航、菜单、连接的风格一致 2 、图形测试 图形有明确的用途 所有页面字体的风格一致。 背景颜色与字体颜色和前景颜色相搭配。 图片的大小减小到 30k 以下 文字回绕正确 3 、内容测试 Web应用系统提供的信息是正确的 信息无语法或拼写错误 可...

基于ECS部署LAMP环境搭建Drupal网站,云计算技术与应用报告

实验环境: 建站环境:Windows操作系统,基于ECS部署LAMP环境,阿里云资源, Web服务器:Apache,关联的数据库:MySQ PHP:Drupal 8 要求的PHP版本為7.0.33的版本 实验内容和要求:基于ECS部署LAMP环境搭建Drupal网站,drupal是一个好用且功能强大的内容管理系统(CMS),通常也被称为是内容管理框架(CMF),由来自全世界各地的开发人员共同开发和...

问答精选

How we can create Dataproc cluster through rest API or http request?

I am new in python, Here I want to create dataproc cluster using http request. I am following below dataproc documentation where they mentioned in REST API section. see below https://cloud.google.com/...

AddWithValue method on ASP.NET

I am using AddStringWithValue method in ASP.NET using C# My HTML code is My C# code for the method is: The problem is, it is giving red underline under email and password. Shouldn't we identify them w...

How to apply css using a condition?

I'm trying to apply this css: this works well, the problem is that the web app can set a class on the body called white-content, if the white-content class is setted, then I can't see the text of h2, ...

Tile game collision detection with sprite moving to arbitary (x,y)

So I am struggling with some logic for collision detection in my game. I have a grid of tiles(images), all representative of a value in a 2D array, so the location of tile N would be (column m, row n)...

Kotin sort by descending then ascending

Im trying to order a list on multiple parameters.. for example, one value descending, second value ascending, third value descending. is there a way like this to do it? (i know is incorrect) people = ...

相关问题

相关文章

热门文章

推荐文章

相关标签

推荐问答